摘 要:提出了一种改进型Smith预估补偿控制新方法。在被控对象的输入端施加一阶跃输入信号,根据其阶跃响应估计出被控对象的数学模型,再根据此估计模型在线地修正Smith预估补偿器,从而克服了传统的Smith预估补偿控制方法因模型误差而使控制品质变坏的缺点。
0引言
Smith预估补偿控制自发明以来,最初由于受硬件条件的限制,很少在实际中被应用,近几年来,由于计算机技术的发展,Smith预估补偿控制在实际中应用越来越多。但由于其控制算法本身存在着控制效果紧紧依赖模型精度的缺点,而实际中由于各种原因往往很难获得非常准确的数学模型,所以实际应用中其控制效果并非那么理想。模型误差,尤其是纯滞后时间的误差较大时有时会使控制系统不稳定[1],因此近几年来关于Smith预估补偿控制改进型控制方案的研究很盛行。结合现在流行的模型预测控制的基本思想,在被控对象的输入端加一阶跃输入信号,通过测量即可获得被控对象的非参数模型即阶跃响应曲线。再利用系统识别的方法即可获得较准确的被控对象的参数模型。根据所获得的被控对象的参数模型在线地修正Smith预估补偿器中的模型参数,使得Smith预估补偿器中的模型与实际被控对象的模型误差最小或为零,这样设计的改进型控制方案,无论从理论还是从实际来看,其控制效果都要优于传统的Smith预估补偿控制。
1控制系统的构成
在传统的Smith预估补偿控制基础上,增加模型预测结构,即可构成如图1所示的新型控制系统。由于实际工业被控对象很多都可近似地用一阶惯性加纯滞后的特性来表示,因此在本文的控制方法中也采用一阶惯性加纯滞后的典型模型结构。
2控制算法
2.1Smith预估补偿器设计
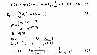
设被控对象的数学模型为:
把有关算式代入(2)式,可得:
经交叉相乘并进行反变换,可得:
经交叉相乘并进行反变换,可得:

式中Y(k)、Y′(k)分别为控制系统的输出测量值和计算值。
控制器Gc应为常规PID离散控制算法,此处不再赘述。
2.2计算模型参数Kp、Tp、τ
根据预测控制的思想,在被控对象输入端施加一阶跃信号△U,在控制系统输出端可获得其阶跃响应。其阶跃响应如图2所示。

被控对象阶跃响应采样数据为y1,y2,y3,…,yN。对于渐近稳定的系统,其阶跃响应在有限个采样周期后将趋于稳态值,即yN≈y(∞)。则根据数个采样周期后的稳态测量值yN,即可估算出被控对象的放大倍数Kp。
当然,为获得较准确的稳态值yN,在采样周期选择合适(采样周期的选择方法与其它计算机控制方法相同)的情况下,要将每次获得的采样值与前几次采样值进行比较,当变化不大时即认为稳态值。
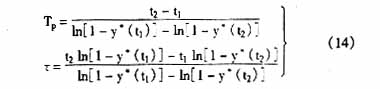
在计算Tp、τ时应将响应曲线y(k)修改成下述标么的阶跃响应曲线y*(t):
为确定Tp、τ应选y*(t)的两个坐标值,以便联立方程。现选择t1及t2且满足t1>t2>τ,由此解得:

3数字仿真
以某炼油厂加热炉为被控对象,其数学模型为:
用(17)式的模型,利用传统的Smith预估补偿控制方法和本文提出新型Smith预估补偿控制方法分别进行数字仿真,获得了两种截然不同的控制效果。其控制系统输出曲线分别如图3、图4所示。相对于传统的Smith预估补偿控制方法,新型Smith预估补偿控制方法收敛快,跟踪准确。但传统的Smith预估补偿控制方法,当纯滞后误差较大时,其输出就变得不收敛。


4结束语
本文借鉴预测控制的思想,对传统的Smith预估补偿控制方法进行了改进,较好地解决了传统Smith预估补偿控制方法所存在的模型误差控制效果变坏的缺点,控制效果优于传统的Smith预估补偿控制方法,具有一定的使用价值。
参考文献
1A M D Paor,M O Malley.Controllers of Ziegler-Nichols type for unstable process with time delay[J].Int J Control,1989,49(4):1273~1284
2K K Tan,Q G Wang,T H Lee et al.New approach the analysis and design of Smith-predictor controller[J].AICHE J,1996,42(6):1793~1797
3张国范.朱晓萍,包新华.一种分析和设计Smith预估器的新方法及其应用[J].控制与决策,2001,16(3):341~343
4王骥程,祝和云.化工过程控制工程[M].北京:化学工业出版社,1996