摘要:首先简要地介绍了逆变电源采用高频链逆变技术的优势,然后具体针对1000VA高频链逆变电源进行了主电路和控制方案的设计,并对设计中可能出现的问题进行了考虑,最后给出了相应的仿真波形和实验波形,证明了该逆变电源具有良好的性能。
关键词:高频链;周波变换器;逆变器;移相控制
1引言
在传统的逆变电源中,由于大部分采用的都是逆变器—工频变压器—滤波器的结构,使得整个逆变电源又大又笨重,难以满足人们对现代电源高功率密度、高效率、高可靠性、小型轻量化的要求,而且由于制造工频变压器需消耗大量的铁和铜,所以使整个逆变电源的造价很高。为了克服传统逆变器的缺点,Mr.ESPELAGE于1977年提出了高频链技术的概念,并由于高频链技术能够大大减小逆变电源的重量和体积,所以成为国内外争相研究的热点。
高频链技术是指利用高频开关技术使隔离耦合变压器实现高频化、小型化、无噪声化的技术。由于
U=4.44fNBS
式中:U为正弦电压有效值(V);
f为正弦电压频率(Hz);
N为绕组匝数(匝);
B为铁心磁通密度(T);
S为铁心的横截面积(m2)。
所以,当电压和铁心材料选定时,f与NS成反比,即f越大,NS越小,这样就可以达到减小变压器的体积和重量的目的。
本文针对电气化铁路中广泛应用的25Hz逆变电源进行了高频链设计。
2主电路的设计
随着高频链技术的不断成熟,现在从结构上主要分为二类,即高频链DC/DC变换型和高频链周波变换型。
高频链DC/DC变换型就是在传统逆变电源的直流侧和逆变器之间加入一级DC/DC变换器,由于DC/DC变换器采用的是高频变换,所以电路中使用的是高频变压器,这样就可以省掉体积庞大的工频变压器,其电路结构如图1(a)所示。虽然DC/DC变换型实现起来比较容易,但是存在功率只能单向流动,负载不能向电源回馈能量;三级功率变换,既使得系统效率低,又使得系统复杂,从而降低了系统的可靠性等缺点。
高频链周波变换型主要由高频电压源逆变器、高频变压器和周波变换器组成,其电路结构如图1(b)所示。与高频链DC/DC型相比,该逆变器实现逆变只经过两级功率变换,降低了变换器的通态损耗和系统的复杂性,提高了系统的效率和可靠性,而且功率可以实现双向流动。本文介绍高频链周波变换型的主电路设计。

具体实现时,高频逆变器可以采用推挽式、半桥式和全桥式,周波变换器可以采用全波式、全桥式。考虑到输出电压和功率的设计要求,最终确定的电路结构如图2所示。图中,Ui为输入直流电压,S1、S2、S3、S4组成全桥逆变器,T为高频变压器,K1、K2、K3、K4是由2个反向串联的MOSFET组成的双向开关,共同组成全桥式周波变化器,L、C组成LC滤波器。
3控制方法及其实现
本文的高频链周波变换型采用移相控制方案,移相控制是近年来在全桥变换电路拓扑中广泛应用的一种控制方式。移相控制的基本工作原理为,全桥变换电路每一个桥臂的两个开关管互补导通,两个桥臂的开关管导通之间相差一个相位,即所谓的移相角。通过调节此移相角的大小,来调节输出电压脉冲宽度,达到调节相应的输出电压的目的。
系统工作原理如图3所示,输入的220V/50Hz交流市电经过整流滤波后变成300V左右的直流,然后经过全桥逆变器的高频逆变,输出25kHz相邻脉冲互为反极性的SPWPM(正弦脉宽脉位调制)波,该波形含有SPWM波的全部信息,但不含25Hz调制波的频率成分,适合于高频变压器传输。SPWPM波通过高频变压器隔离后,用周波变换器同步整流,把25Hz正半周时间内的负脉冲翻转成正脉冲,把25Hz负半周时间内的正脉冲翻转成负脉冲之后,将得到25Hz的单极性SPWM波(如图3中uA′B′所示波形)。SPWM波通过LC滤波,则输出光滑的220V/25Hz的正弦交流电压。

为了实现上述的移相控制策略,本文采用了用模拟电路实现PID调节,用数字电路CPLD(复杂可编程逻辑器件)来实现驱动信号的时序和逻辑控制的设计方法。这种方法使得整个控制器的集成度提高,可靠性增强,而且为控制电路的设计提供了一定的灵活性。整个控制环节分为内环和外环两条控制电路,内环为电压瞬时值比例(P)调节,外环为电压平均值的比例积分(PI)调节。由于内环响应速度快,可以改善电压的瞬时波动造成的波形畸变,外环可以使整体的稳压的特性变硬,从而达到良好的稳压效果。
具体实现上如图4所示,输出电压Uo经过反馈变压器变换得到反馈电压,再经过精密整流电路后,与5V的参考电压相减,得到的偏差进行PI调节,然后与基准正弦半波相乘得到内环瞬时电压偏差的正弦参考电压;内环的瞬时电压反馈信号经过比例环节后,与参考电压相减,得到误差信号,误差信号再经过P调节就直接与三角波比较,产正SPWM波,然后输入CPLD中,经过CPLD产生MOSFET的驱动信号,其中采用VHDL(硬件描述语言)编程来实现图4中虚框所示的功能——分频器、地址产生器、比较器和时序逻辑发生器。
{{分页}}
如图3所示本文采用的是用等腰三角波来实现双边调制。国外许多高频链设计中通常采用的是锯齿波实现单边调制,其直边用于同步开关时序,斜边用于脉宽调制,而在实际应用中,这种方法存在锯齿波的直边不能完全垂直而带来的开关时序同步问题。本文所采用CPLD进行时序设计的方法,从根本上解决了开关时序同步的问题。4设计中应该注意的几个问题
4.1变压器的设计
变压器设计是整机设计中重要的一环,设计的好坏对整机的性能有很大的影响。由于所设计的变压器是高频变压器,因此,磁芯材料选用铁氧体。通过计算AP值的方法来计算变压器磁芯规格和原副边匝数后,还应注意以下几点:
1)通过实验反复修正确定最佳的参数;
2)尽量选用多股线,减少趋肤效应;
3)尽量将副边绕制在内层,原副边紧密绕制,以减小副边的漏感。
4.2抗偏磁饱和
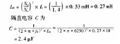
为了防止变压器的偏磁饱和,一方面,调整驱动脉冲死区,选择开关特性一致的功率开关管;另一方面,在变压器的原边串联隔直电容。有关几个参数的计算公式如下:

反射滤波电感LR为

4.3吸收电路的设计
由于电压源高频链逆变技术存在固有的电压过冲问题,因此如何设计吸收电路,对保护功率开关管尤为重要。这里给出简便的设计方法。
吸收电容Cs为

4.4死区时间和共态导通时间
为了防止全桥逆变电路一个桥臂中的上下开关管同时导通而出现直通的情况,需要在全桥逆变电路的驱动中加入死区时间。同时,为了保证当开关管换流时,滤波电感中的电流有续流通路,要在周波变换器的驱动中加入共态导通时间。但是由于共态导通时间也造成了变压器副边瞬间短路,将产生一个很高的电流尖峰,所以共态导通时间不宜设置过长,为此,在变压器副边串入小电感来抑制电流尖峰。
{{分页}}
5仿真及其实验波形
本文利用MATLAB61提供的SIMULINK工具包对整个系统建立了仿真模型进行仿真。仿真模型参数:输入直流电压300V,输出交流电压220V,25Hz,额定容量1000VA,开关频率25kHz,变压器变比1/1.4,输出滤波电感L=0.5mH,输出滤波电容C=20μF,额定负载R=45Ω。仿真波形如图5所示。


原理样机的实验波形如图6所示。


6结语
采用周波变换器高频链技术实现的逆变电源电压输出特性良好,相对于传统的逆变电源具有重量轻、体积小、低噪音、成本低的诸多优点,具有较高的实用价值。